孟祥康教授课题组与美国阿肯色大学合作,在铁电材料的弹光效应研究方面取得重要进展,其研究成果《Large Elasto-Optic Effect in Epitaxial PbTiO3 Films》发表于《物理评论快报》(Physical Review Letters, 115, 267602 (2015). DOI: 10.1103/PhysRevLett.115.267602)。该工作的一作和通讯作者单位均为太阳成集团122ccvip,陈兰博士为第一作者,孟祥康教授为通讯作者。
铁电材料的研究已经开展了70多年,但主要集中在压电性质和介电性质的研究,铁电材料的光学响应的研究却鲜有报道。目前,仅LiNbO3等少数几种铁电材料的弹光性质被科学家关注,因此,铁电材料中的弹光系数与电极化、晶格系数比等物理量的关系至今不为人知,研究这些机制能为设计大弹光系数材料和新的光-机械换能器件提供新的思路。
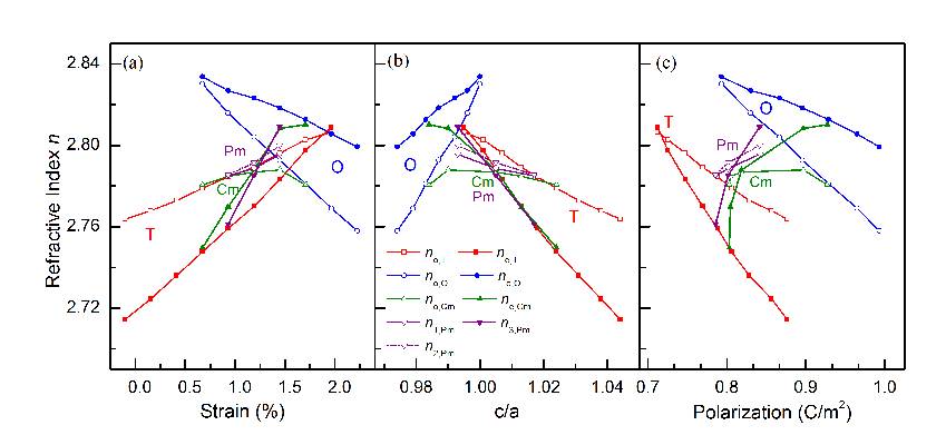
太阳成集团122ccvip和美国阿肯色大学合作团队设计了能获得巨大弹-光系数的方案。该方案基于低对称性的铁电相,在应变场作用下,此铁电相的电极化方向发生转动,晶格常数比连续变化。他们利用第一性原理方法,以钛酸铅(PbTiO3)为研究对象,设计得到了目前最大的弹-光系数材料。研究表明,PbTiO3在较小的拉伸应变下是四方相,在较大的拉伸应变下是正交相,而在这中间大小的应变下是低对称性的单斜相。四方相和正交相的折射率随应变大小表现出不同的反应,四方相折射率随应变增大而增大,而正交相折射率随应变增大而减小,进而表现出四方相和正交相的弹光系数的不同正负性。单斜相架起连接四方相和正交相的桥梁,为使四方相和正交相折射率相连,单斜相的折射率随应变变化必然出现突变,这种突变导致了极大的弹光系数。这项成果推动了铁电、薄膜和光学材料领域研究的发展,开辟了在铁电材料中寻找强弹-光耦合效应的新领域,并会引起机械、光学和铁电等领域科学家的广泛关注。该项研究得到了国家自然科学基金和国家重点基础研究发展计划(973计划)资助。

图1: PbTiO3的四个相的折射率随应变(a)、晶格常数比(b)和电极化(c)的变化趋势图。


